نشرت هيئة البث الإسرائيلية، الخميس، النص الكامل للاتفاق بين إسرائيل وحركة حماس، المستند إلى مقترح الرئيس الأميركي دونالد ترامب لإنهاء الحرب في غزة، والذي تم توقيعه برعاية الدول الوسيطة في شرم الشيخ.
وحمل الاتفاق عنوان: "خطوات تنفيذ مقترح الرئيس ترامب بشأن الإنهاء الشامل لحرب غزة"، وجاء في الوثيقة التي تضمنت توقيع الولايات المتحدة وقطر ومصر وتركيا ودول أخرى، مجموعة من البنود المفصّلة حول آليات وقف النار وتبادل الأسرى والانسحاب العسكري.
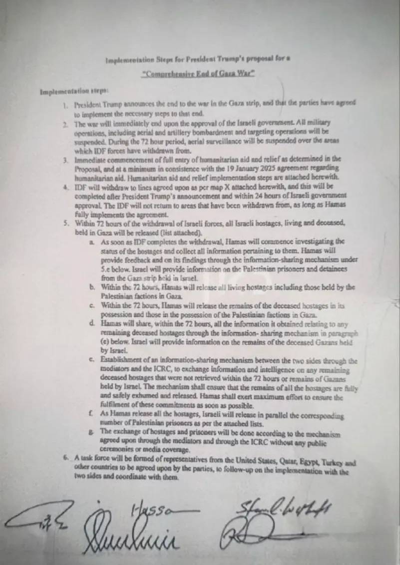
إعلان إنهاء الحرب: يعلن الرئيس الأميركي دونالد ترامب رسمياً انتهاء الحرب في غزة، وتوافق الأطراف كافة على الخطوات التنفيذية لتحقيق ذلك.
وقف فوري للعمليات العسكرية: تنتهي الحرب فور موافقة الحكومة الإسرائيلية، ويتم تعليق جميع العمليات القتالية بما في ذلك القصف الجوي والمدفعي والاستهدافات، مع وقف المراقبة الجوية فوق المناطق التي ينسحب منها الجيش الإسرائيلي خلال 72 ساعة.

إدخال المساعدات الإنسانية فوراً: تبدأ عملية إدخال المساعدات الإغاثية والغذائية والطبية بشكل كامل فور بدء تنفيذ الاتفاق، وبما لا يقل عن الكميات المحددة في اتفاق 19 كانون الثاني 2025، على أن تُرفق خطة تفصيلية لتوزيع المساعدات.
انسحاب القوات الإسرائيلية: تنسحب القوات الإسرائيلية إلى الخطوط المتفق عليها خلال 24 ساعة من موافقة الحكومة، وتتعهد بعدم العودة إلى المناطق المنسحب منها طالما التزمت حماس بتنفيذ الاتفاق.
تبادل الرهائن والأسرى خلال 72 ساعة: فور الانسحاب، تبدأ حماس بجمع وتبادل المعلومات حول الرهائن وتسليمها عبر اللجنة الدولية للصليب الأحمر.
تطلق حماس سراح جميع الرهائن الأحياء وتسلم جثامين المتوفين خلال 72 ساعة.
تلتزم إسرائيل بإطلاق سراح عدد مماثل من الأسرى الفلسطينيين بالتوازي.
تُنشأ آلية تبادل معلومات بين الطرفين عبر الوسطاء لضمان استعادة الجثامين والمفقودين.
يُحظر إقامة أي مراسم علنية أو تغطية إعلامية لعمليات التبادل.
تشكيل قوة متابعة دولية: تُنشأ قوة عمل مشتركة من الولايات المتحدة وقطر ومصر وتركيا ودول أخرى للإشراف على تنفيذ الاتفاق ومتابعته ميدانياً مع الجانبين.
ويأتي الإعلان عن الاتفاق بعد يوم واحد فقط من الذكرى الثانية لهجوم 7 تشرين الأول 2023، الذي أشعل الحرب في غزة.
وخلال المحادثات غير المباشرة التي استضافتها مدينة شرم الشيخ المصرية، تم التوصل إلى المرحلة الأولى من خطة ترامب المؤلفة من 20 بنداً، وتشمل وقف النار، تبادل الأسرى، انسحاب القوات، وبدء عملية إعادة الإعمار بإشراف دولي.
وكان الرئيس ترامب قد أعلن مساء الأربعاء: "إسرائيل وحماس وافقتا على المرحلة الأولى من خطة السلام في غزة", مؤكداً أن "الاتفاق يمثل بداية جديدة للشرق الأوسط، وفرصة لإنهاء الحروب وبناء الاستقرار".